Joonis 4. Ajasõltuvus maatriksi võrestiku konstandist, mis on omandatud in situ XRD mõõtmistest 700 ◦ C. Me täheldasime monotoonset langust võre parameetris, mis näitab, et rasked elemendid nagu Nb ja Mo järk-järgult hajuvad tahkest-lahuse maatriks ja aitab kaasa_-faasi tuuma- ja kasvule. Selles arvus esitatud ebakindlus ja edaspidi esitatakse üks standardne avaldus, kui ei ole sätestatud teisiti.
Lisaks sellele muutus tahke aine maatriksi võre parameetris-lahuse sulam on seotud sadestumise ulatusega [40]. AM IN625 puhul erinevus maatriksi võrestiku parameetrites enne ja pärast 10h kuumtöötlemist kell 870 ◦ C oli ≈ 0.0042 Å [21]. Võrdluseks on võre parameeter muudetud ≈ 0.0015 Å pärast 10.5 h kuumtöötlemist 700 juures ◦ C, mis viitab oluliselt vähemale_-faasi sadestamisele selles temperamendisUre.
IN625, nagu kavandatud, on üks-faasisulamist vadere tugevus tuleneb peamiselt tahke lahuse tugevnemisest Mo, Nb ja Cr [1]. VaRe Kuna eeldatakse, et Mo ja Nb ammendumine maatriksist vähendab tugevust, võib sademete teke seda vähenemist kompenseerida ja suurendada IN625 üldist tugevust. Näiteks survetöötlemata IN625 saavutab oma maksimaalse kareduse pärast 170 h termotöötlust 700 ◦ C, mis onpeamiselt tänu γ_; faasi sadestamisele, mis on δ faasi eelkäija [41]. Sarnaselt suurendab_-faasi sadestumine ka üldist tugevust ja vähendab kanalisatiivsust [37]. AM IN625 puhul on vaja ja on vaja süstemaatiliselt hinnata termilise töötlemise mõju mehaanilistele omadustele üle temperatuurivahemiku.Jah.
Soojustöötluse käigus muutub ka_-faasi ühikuraku osa. Joonis 5 illustreerib seda muutust. Kolmest orthoumbilisest võrestiku parameetrist (joonis 5a c) on kaks peaaegu konstantsed ≈ 5.108 Å ≈ 4.232 Å Kolmas võre parameeter näitab monotoonset tõusu alates ≈ 4.482 kuni ≈ 4.488 Å On teada, et pikk telg δ faas on joondunud lähedusega-FCC maatriksi pakitud suunad ja kristallograafilised orientatsioonid FCC maatriksi ja_vahel, järgnev faas (111)FCC//(100)δ ja FCC//[100]948; [10]. Põhinedes sellele, me järeldada, et difusioon Nb ja Mo on ka suunatud. Kuna Mo difusioon maatriksist kuni_;faasi kulgeb aeglasemalt kui Nb [42], võib see suunatud difusioon viia muutuseni δ faasi keemias ja ühikuraku mahu suurenemiseni, nagu on näidatud joonisel 5d.
Joonis 5. a c) Ajasõltuvus kolmest ristiku parameetrist, mis on saadud in situ XRD mõõtmistest 700 kohta ◦ C. d) Protsessi_ühikurakumaht sadestabJah.
In situ SAXS andmed, mis on saadud sama proovi mahuga isotermilise kuumtöötlemise ajal, annavad ka võimaluse uurida materjali s statistiliselt olulist transformatsiooni kineetikat. Joonis 6 näitab täielikku andmekogumit, kusjuures USAXS-i andmed on põhiprooviala ja SAXS-i andmed, mis on näidatud aluskihis. Järjepidevuse jaoks on hajutusandmed värvi-Kodeeritud kasutades sama värviskaalat kui XRD andmed joonisel 3. Hajumise andmed on kolm märgatavat omadust. Esiteks, väga madala-q osa hajutusandmetest (k) ≈ 1 − 4 Å − 1 kuni ≈ 4 − 4 Å − 1), me märkasime jõudu-Seaduse kallak, mis ei muutu kui aja funktsioon. Me omistame selle funktsiooni teravilja hajutamine, mis on sarnane varasemale tööle Ni-supersulamid [21,43] ja alumiinium sulamid [44,45]. Terade kasv IN625- s on minimaalne temperatuuride puhul, mis on alla 900 ◦ C [46]. Seega eeldatakse, et terade hajumine on stabiilne, mis on kooskõlas eksperimentaalsete vaatlustega. Teiseks, me täheldasime monotoonset hajumise intensiivsuse tõusu vahel ≈ 4 − 4 Å − 1 ja ≈ 0.01 Å − 1, eriti kahe Guinieri piirkonnaga kahe × 10 − 3 Å − 1 ja 8 × 10 − 3 Å − 1 vastavalt. Kuna in situ XRD andmed ja ex situ SEM pildid näitavad ainult_;faaside sadestamist, omistame selle hajutussignaali_faasi. Varasemad mikroskoopilised uuringud on näidanud, et δ faasisademed on trombotsüütid, millel on kaks iseloomulikku suurust [10,21,47], mis on kooskõlas kahe Guinieri piirkonna vaatlemisega hajutusandmetes. Lõpuks, SAXS andmed, mis on näidatud liitmisel, on lihtsalt laiendused suur q võimsus-USAXS-andmete õiguslik seos; SAXS-i andmed ei sisalda täiendavat teavet, mis näitab, et täiendavaid andmeid ei ole.-selle kuumtöötlemise käigus moodustuvad suured sademed.
Joonis 6. In situ SAXS andmed AM IN625 kohta, mis on omandatud isotermilise kuumtöötlemise käigus 700 ◦ C puhul 10.5 h. Põhijoonisel ja selle sees on vastavalt USAXS ja SAXS andmed. Omandamise aeg on värv-Kodeeritud pärast ajatelje noole. USAXS intensiivsus on läbi lõigatud-määritudJah.
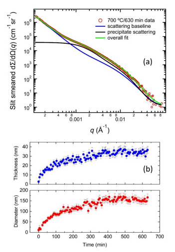
Me lõime hajutamise mudeli, et kirjeldada hajutamise andmeid nende vaatluste põhjal, nagu on näidatud joonisel 7a. Kasutades näiteks USAXS andmeid, mis on saadud 630 min-is in situ katses, koosneb see mudel kahest komponendist. Esimene komponent on hajumise lähtejoon, mis saadakse sama proovi mahuga toatemperatuuril enne kuumtöötlemist samal temperatuuril. Teine komponent kujutab endast ülemäärast hajumist, mis tuleneb_-faasist. Nagu eelnevalt kindlaks tehtud [21], me kirjeldasime seda ülemäärast hajutamist kasutades analüüsi lähenemisviisi, mis on analoogne ühtlustatud väike nurk hajutamise meetod kahe hajutamise tase [48]. Koos, see kaks-Komponentmudel kirjeldab in situ SAXS andmeid hästi läbi kogu andmejadaJah.
Joonis 7. a) joonis SAXS mudelist, mida selles töös kasutatakse. Andmed saadi 630 min väärtusel termilise töötlemise ajal 700 ◦ C. Summutatud sadestamine koosneb kahest osast: 1) hajutusjoon ja (2) liigne hajumine alates_;faasisademed. b) Aeg-sõltuv keskmine läbimõõt (oluline mõõde) ja paksus (väiksem mõõde) _faasissademetesJah.

Töö nimetus: Product manager
Osakond: Market Department
Ettevõtte telefon: +86 021-59150215
E-post: Võta meiega ühendust
Mobiiltelefon: +86 13817160919
Veebisait: lanzhusuperalloy.estb2b.com
Aadress: No. 2800 Caoxin Road, Xuhang Town, Jiading District, Shanghai