Introductionn
The in chreathadh diagnóisicnan-inneall gástuirbín eitlíochta agus turbomachines Tá \\ treo tábhachtach diagnostics trí shamhaltú. Tugann Modeling deis chunnascadh láthair roinnt cineálacha de lochtanna meaisín le comharthaí a láithreacht sa comhartha chreathadh. Is é ceann dena lochtanna arnós cuma crack sna shaftsnan-inneall eitlíochta agus turbomachines atá unallowable. Dá bhrí sin tá an tasc is tábhachtaí den chóras diagnóiseach crack a bhrath in am agus réamhaisnéis a dhul chun cinn.
Appearancena crack sna torthaí rótar i laghdú stiffness áitiúil. Braitheann Luach an chaillteanais stiffness ar thréithe céimseatúil crack. Má tá ualach statachnós fórsa meáchain i bhfeidhm, osclaíonn crack agus Dúnann cé go bhfuil an rótar rothlach. Mar thoradh air sin, athraíonn an stiffness seafta aghaidh timthriall. Crack sna toradh chóras rótar ar an \\ athruithenfollowing ar comhartha vibrational [1]:
·de 1 × armónach de luas rothlach mar gheall ar fhásincrease aimplitiúid de sraonadh statach de bharr laghdú stiffness.
·appearance de 2 × chomhpháirt de luas rothlach de bharr stiffness rótar trí dhíchuachadh.
·appearance den chomhábhar 3х luas rothlach de bharr oscailt timthriallach agus dúnta ar crack.
The tasc is mó dena samhail mhatamaiticiúil cur síos ar luach agus dlí an athraithe áitiúil stiffness ithe áit wher
101; Bíonn crack áit a bhreithniú chomh lán fachtóirí agus is féidir. Tá&#
There cineálacha éagsúla cur chuige a crack insamhail. Sna cásanna is simplí crack é insamhladh trí laghdú stiffness gathacha an seafta fad [2,3,4]. Sna cásanna eile an chuid seafta, wher101; Bíonn crack ar siúl, tá replace d ag gné coibhéiseach bhíoma. Comhéifeachtaí de mhaitrís stiffness de eilimint den sórt sin a ríomh ag cur san áireamh crack agus athrú in aghaidh an timthriall. Go oibre [5] a ríomh maitrís righneas an eilimint bhíoma le crack bunaithe ar úsáid a bhaint as chuimhneacháin táimhe an t-alt bhíoma bhreithniú crack. Go oibre [6] maitrís stiffness an eilimint den sórt sin arna ríomh ar bhonnna cothromóidína Meicnic de scrios comhlachtaí soladach '. Is féidir Crack a insamhladh trínasc leaisteachanascadh codanna teorann an seafta san áit ina bhfuil sí lonnaithe agus ag tabhairtna huaire crack stiffness [7,8].&#
Change in stiffness crack ag brath ar a oscailte agus dúnta cé go bhfuil an rótar rothlach Féadfar cur síos matamaiticiúil ar bhealaí éagsúla. I cás is simplí is féidir glacadh leis go bhfuil crack ach dhá phost: go hiomlánopenednó dúnta go hiomlán, agus d'fhéadfadh feidhm chéim a chur i bhfeidhm chun cur síos ar a athrú stiffness matamaiticiúil [4].
Work [3] cur síos ar an chuid is mó leathadh múnlaí athraithe stiffness. Is é ceann acu Gasch chothromóid. Athraighin stiffness siúl ag brath ar an uillinn idir chéim den fhórsa statach agus céim crack agus cur síos ag 17 harmonics de shraith Fourier. Tugann an t-alt céanna Maes
Davies chothromóid wher&101; stiffness athruithe ag brath ar uillinn de réir an dlí an chomhshínis. Sa tsamhail Yang stiffness athruithe ag an dlí Comhshíneas i méid doimhneacht crack coibhneasta.&#
This Forbraíonn airteagal an tsamhail crack ar bhonnchuigenexisted \\ agus i láthair chomh maith leis an modheolaíocht a thugann deis do comharthaí aird a tharraingt úsáidtear a bhrath ar a choinníoll maidir le rotor cruinn. The Algartam áireamh sa chlár bogearraí Dynamics R4 [9], rud a léiríonn an tiomnaithe
system le ríomh iompar dinimiciúilna gcóras rótar chasta.
\\ samhailnCrack
Within an gcoincheap insamhalta inghlactha, tá crack sa tsamhail seafta ionadnasc leaisteach tríd an seafta ina dhá chuid agus ag cur síos de réir maitrís stiffness le athróg comhéifeachtaí. Mura bhfuil aon crack, tá coinníoll brú comhoiriúnacht idirna codanna dena codanna seafta gcrích, mar sin go léirna displacements frithpháirteach Tá toirmiscthe. Táimid thabhairt isteach an rothlach córas a chomhordú ηOε atá suite i limistéar an crack, Fíor 1. Is é an comhthráthach tionscnaimh leis an tionscnamhna socraithe a chomhordú XYZ chórais. Ritheann an seafta dhá foriarratais - uainíochta cuí agus luainíocht ar fud Z ais. Nuair a chuireann síos crack mheasamar a bheith ach uainíochta thart η agus aiseanna ε. Displacements ag céimeanna saoirse eile andearnadh faillí orthu.
Figure 1. Crack alt
is féidir
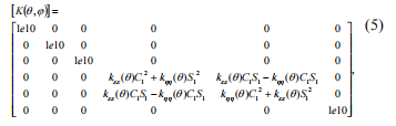
Flexibility maitrís annasc Insamhladh crack sa chóras rothlach chomhordú a scríobh mar anfollowing:
101; &Q# j a=-difríocht i gcéimeanna, j- uillinn uainíochta seafta, a- uillinn luainíocht = g- ee( Q) agusg hh( Q)athróg coefficients denóiméad solúbthachta- .
Flexibility ag brath ar uillinn Q because cé go bhfuil an seafta rothlach, osclaíonn crack agus Dúnann. Tá maitrís stiffness fhaightear trí inbhéartú ar an[gnr \(Q)]matrix, agusnialas comhéifeachtaí solúbthacht ag an príomh-thoradh ar trasnánach le obtainment comhéifeachtaí stiffness ag dul go dtí Infinity. teorainn Táimid luach comhéifeachtaí stiffness den sórt sin 1е10 Nm; Ní dhéanann an toimhde théann go mór an toradh, is é sin táimid ag a fháil/
Stiffness maitrís é a chlaochlú i an seasta córas a chomhordú ag baint úsáide as an tar éis chothromóid:

101; [ &T#]maitrís uainíochta (4), wher101;C-&1#\\ ONC (j=),s1sin (. \\ atánj)=iolraitheach matrixes i gcomhfhreagras leis an chothromóid (3) dúinn a fháil:
\\ maitrísnstiffness agus an algartam a comhéifeachtaí obtainment. I gcomhfhreagras leis an tsamhail Maes, sé
may glacadh leis go solúbthacht gathacha an bhíoma ciorclach le hathruithe crack ó íosta luach is fearr de réir an dlí chomhshínis.
wher
101;
0 solúbthacht an bhíoma gan crack (luach minimum), &GC#solúbthacht an bhíoma le oscailte-crack (luach is fearr).- \\ Iarthuaisceartna hEorpa in áit crack ag hinge lenóiméad stiffness
k init mh . Ba cheartna coinníollacha bhíoma teorann a chur ar fáil dá\\ definabilitynstatical mar a thaispeántar i bhFíor 2.
Figure 2 . Athsholáthar crack de réir hinge
Then tá solúbthacht gathacha d'alt béim ar an seafta le crack oscailte fuarthas mar:

E
Young modulus, \\ TÉ &nóiméad táimhe diametral den alt seafta,#kinit-mh- \\ comhéifeachtn- d'nóiméad stiffness d'nasc coibhéisí arb ionann agus crack lánoscailte.

Töö nimetus: Product manager
Osakond: Market Department
Ettevõtte telefon: +86 021-59150215
E-post: Võta meiega ühendust
Mobiiltelefon: +86 13817160919
Veebisait: lanzhusuperalloy.estb2b.com
Aadress: No. 2800 Caoxin Road, Xuhang Town, Jiading District, Shanghai